-
- Tổng tiền thanh toán:

[Tổng hợp] Thông số bộ trục vitme đai ốc bi
Tác giả: Trần Đức Thiện
Ngày đăng: 26/04/2022
Nội dung bài viết
Bạn đang tìm kiếm thông tin về thông số bộ trục đai ốc vitme bi? Hãy tham khảo ngay bài viết này để có thể lựa chọn được bộ trục vitme phù hơp với máy móc của mình!
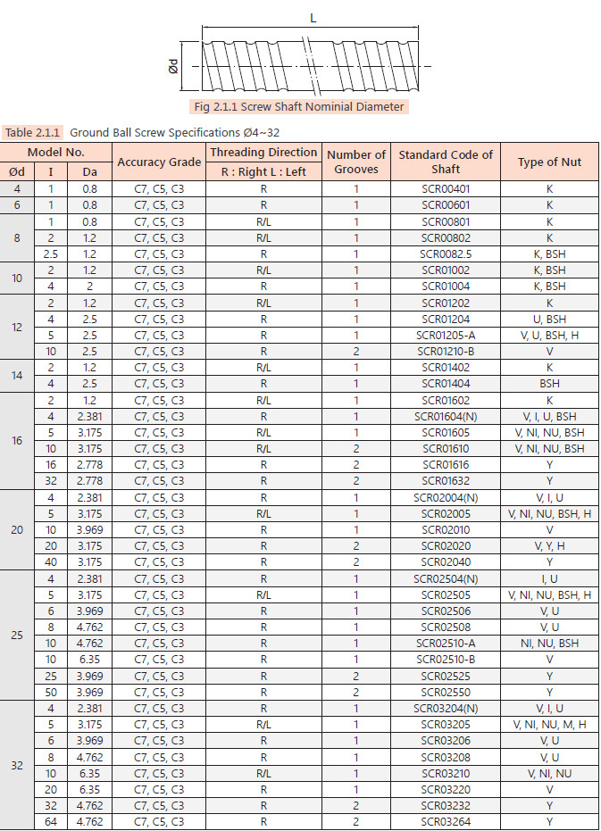
Để có được thông số bộ trục vitme chi tiết nhất, các bạn có thể tham khảo tại catalogue vít me đai ốc
Thông số trục vít me
Trục vitme là linh kiện quan trọng trong các hệ thống truyền động tuyến tính, đặc biệt trong lĩnh vực cơ khí chính xác, máy CNC và tự động hóa. Để lựa chọn và sử dụng trục vít me hiệu quả, việc nắm rõ các thông số kỹ thuật là điều không thể thiếu. Dưới đây là bảng tổng hợp các thông số kỹ thuật cơ bản của trục vít me, bao gồm đường kính, chiều dài, bước ren, số đầu mối, vật liệu chế tạo và các đặc tính liên quan. Những thông số này giúp người dùng dễ dàng so sánh, lựa chọn sản phẩm phù hợp với nhu cầu ứng dụng thực tế.


Ảnh Kích thước vít me bi
Thông số vít me đai ốc
Vitme bi TBI là dòng sản phẩm nổi bật của hãng TBI Motion, được ứng dụng rộng rãi trong các hệ thống máy CNC, máy tự động hóa nhờ độ chính xác cao, khả năng chịu tải lớn và vận hành mượt mà. Các mẫu vitme bi TBI phổ biến như SFU1204, SCNH1205, SFU1204... đều có nhiều lựa chọn về đường kính, bước ren và cấp chính xác, đáp ứng đa dạng nhu cầu sử dụng trong công nghiệp. Dưới đây là bảng thông số các loại vitme bi TBI được ưa chuộng nhất hiện nay, giúp bạn dễ dàng so sánh và lựa chọn sản phẩm phù hợp với yêu cầu kỹ thuật của mình.
1. Thông số vitme bi TBI SFH/SFNH

2. Thông số kích thước vitme bi TBI SCNH

3. Kích thước vitme TBI SFU/SFNU

4. Thông số đai ốc vít me bi TBI OFU/DFU

5. Thông số vitme bi TBI SFNI/SFI

Cách đọc ký hiệu vitme đai ốc

Trên đây chúng tôi đã tổng hợp thông số của các mã trục vitme - đai ốc bi được ưa chuộng nhất, ngoài ra còn rất nhiều các mã khác. Nếu quý khách có nhu cầu mua hàng hay cần được biết thêm thông tin chi tiết, hãy liên hệ ngay tới Kỷ Nguyên Máy qua hotline 077.209.8686 để được tư vấn!
Trần Đức Thiện
CEO Trần Đức Thiện không chỉ là người sáng lập mà còn là linh hồn của Kỷ Nguyên Máy. Với tầm nhìn chiến lược, kiến thức chuyên môn sâu rộng và tinh thần đổi mới không ngừng, anh đã trở thành cái tên uy tín trong lĩnh vực kinh doanh xuất nhập khẩu và tư vấn giải pháp linh kiện cơ khí, máy móc CNC tại Việt Nam.